Data Sets
:
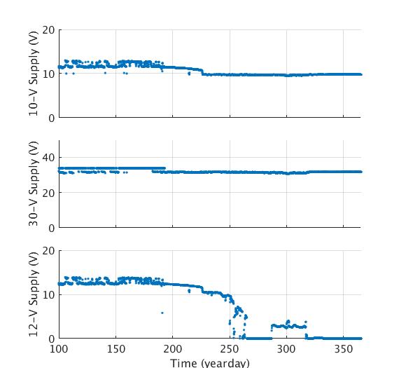
AOFB 15
: Engineering Data
Engineering data plots for AOFB 15: 10-V Supply (top panel), 12-V wind generator battery voltage (second panel) and 40-V Voltage supply (bottom panel)